Grosse bourde dans le TOT du TUT
- McColson
- Admin du site

- Messages : 8038
- Enregistré le : 07 nov. 2004, 1:00
- Localisation : La Celle sur Morin
- Contact :
Re: Grosse bourde dans le TOT du TUT
Tout à fait, voir même faire un article sur la partie statique du site pour qu'il devienne une référence plus facile à trouver qu'un post dans le forum.
Jptrol, faudrait que je t'ouvre un accès à la partie administration du site pour rédiger un article, ou alors tu m'envoyes un truc en HTML ou en pdf. Qu'en penses-tu ?
Puis perso j' ai une question, vu que je suis perdu dès qu'un jw intervient dans une équation. Y'a pas moyen de vérifier les équations avec un montage et un oscillo ou un autre outil ?
Jptrol, faudrait que je t'ouvre un accès à la partie administration du site pour rédiger un article, ou alors tu m'envoyes un truc en HTML ou en pdf. Qu'en penses-tu ?
Puis perso j' ai une question, vu que je suis perdu dès qu'un jw intervient dans une équation. Y'a pas moyen de vérifier les équations avec un montage et un oscillo ou un autre outil ?
- bilbo_moria
- Don Bilbo de la Vega
- Messages : 7471
- Enregistré le : 15 déc. 2004, 1:00
- Localisation : Tinteniac (35)
Re: Grosse bourde dans le TOT du TUT
Bonne idée !McColson a écrit : 28 janv. 2018, 10:39 Tout à fait, voir même faire un article sur la partie statique du site pour qu'il devienne une référence plus facile à trouver qu'un post dans le forum.
Jptrol, faudrait que je t'ouvre un accès à la partie administration du site pour rédiger un article, ou alors tu m'envoyes un truc en HTML ou en pdf. Qu'en penses-tu ?
Avec un GBF et un oscillo, tu peux effectuer des mesures tension de sortie (anode) / tension d'entrée (grille) à 40Hz, 80Hz, 160Hz, 320Hz, etc. jusqu'à 10kHz (à peu prèsMcColson a écrit : 28 janv. 2018, 10:39 Puis perso j' ai une question, vu que je suis perdu dès qu'un jw intervient dans une équation. Y'a pas moyen de vérifier les équations avec un montage et un oscillo ou un autre outil ?
(il est conseillé de mesurer la tension d'entrée à chaque mesure, certains GBF sont un peu farceurs, selon la fréquence ...)
Re: Grosse bourde dans le TOT du TUT
Juste un article sur l'utilisation du fichier Excel , qui me semble plutôt assez basique, ou un descriptif de la théorie qui mène à ces résultats là ?McColson a écrit : 28 janv. 2018, 10:39 Tout à fait, voir même faire un article sur la partie statique du site pour qu'il devienne une référence plus facile à trouver qu'un post dans le forum.
Jptrol, faudrait que je t'ouvre un accès à la partie administration du site pour rédiger un article, ou alors tu m'envoyes un truc en HTML ou en pdf. Qu'en penses-tu ?
Ça pourrait être aussi une approche que l'on pourrait souhaiter plus conviviale de ce que vous pouvez
lire ici
McColson a écrit : 28 janv. 2018, 10:39 Puis perso j' ai une question, vu que je suis perdu dès qu'un jw intervient dans une équation. Y'a pas moyen de vérifier les équations avec un montage et un oscillo ou un autre outil ?
Voilà, Bilbo a répondu.bilbo_moria a écrit : 28 janv. 2018, 13:17 Avec un GBF et un oscillo, tu peux effectuer des mesures tension de sortie (anode) / tension d'entrée (grille) à 40Hz, 80Hz, 160Hz, 320Hz, etc. jusqu'à 10kHz (à peu près) puis tracer sous Excel, par exemple !
(il est conseillé de mesurer la tension d'entrée à chaque mesure, certains GBF sont un peu farceurs, selon la fréquence ...)
J'ajouterai juste que les équations sont de la théorie et que les mesures doivent tenir compte d'une marge d'erreur liée d'une part à la résistance interne de la triode ( ici j'ai pris la valeur de la datasheet pour la 12AX7 de 62500 ohms mais cette valeur peut varier en fonction de la polarisation réelle) et aussi de la charge réelle sur l'anode : le 1 M théorique est en parallèle avec une capa de Miller si on attaque une triode et pas dans le cas d'attaque d'une pentode , etc...
La vérification théorique se fait comme je l'ai indiqué sur le graphique issu du RDH4 : on y voit les coupures à -3 dB et aussi le "GAP" de 4,1 dB qui correspond bien à celui calculé par l'outil en question. Je garantis à 100 % ce petit outil.
Sinon pour tous ceux qui sont mal à l'aise avec les expressions en jw , tout tient dans ceci :
(cliquer pour agrandir)

Au besoin ils peuvent se reporter aux NOMBRES COMPLEXES SANS COMPLEXE !
Modifié en dernier par jptrol le 15 déc. 2025, 11:50, modifié 2 fois.
jptrol
______________________________________________
______________________________________________
Re: Grosse bourde dans le TOT du TUT
Ou sinon tu es riche et tu prends un analyseur de réseau 
François
- McColson
- Admin du site

- Messages : 8038
- Enregistré le : 07 nov. 2004, 1:00
- Localisation : La Celle sur Morin
- Contact :
Re: Grosse bourde dans le TOT du TUT
Je dirais juste un article pour une approche plus conviviale et présenter le fichier excel (le mettre en download sur le site), mais aussi qu'il faudrait intégrer tout ton site au site projetg5.com !!! Ne serait-ce que pour la sauvegarder (miroir).jptrol a écrit : 28 janv. 2018, 21:46Juste un article sur l'utilisation du fichier Excel , qui me semble plutôt assez basique, ou un descriptif de la théorie qui mène à ces résultats là ?McColson a écrit : 28 janv. 2018, 10:39 Tout à fait, voir même faire un article sur la partie statique du site pour qu'il devienne une référence plus facile à trouver qu'un post dans le forum.
Jptrol, faudrait que je t'ouvre un accès à la partie administration du site pour rédiger un article, ou alors tu m'envoyes un truc en HTML ou en pdf. Qu'en penses-tu ?
Ça pourrait être aussi une approche que l'on pourrait souhaiter plus conviviale de ce que vous pouvez
lire ici
Et éditer "la théorie selon JPTROL" en fascicule relié via l'APLAI
Re: Grosse bourde dans le TOT du TUT
Ah oui, très bonne idée ça!Et éditer "la théorie selon JPTROL" en fascicule relié via l'APLAI
- bilbo_moria
- Don Bilbo de la Vega
- Messages : 7471
- Enregistré le : 15 déc. 2004, 1:00
- Localisation : Tinteniac (35)
- Lemontheo
- G5 Team

- Messages : 1810
- Enregistré le : 21 janv. 2011, 1:00
- Localisation : Rouen
- Contact :
Re: Grosse bourde dans le TOT du TUT
il y a lulu qui est très bien pour l'auto édition
(J'ai même relié le TUT3 en format A4 pour 15€ fdpin, avec une belle couverture souple en carton....)
(J'ai même relié le TUT3 en format A4 pour 15€ fdpin, avec une belle couverture souple en carton....)
Re: Grosse bourde dans le TOT du TUT
Et t'as pas eu de problème de copyright??
- Lemontheo
- G5 Team

- Messages : 1810
- Enregistré le : 21 janv. 2011, 1:00
- Localisation : Rouen
- Contact :
Re: Grosse bourde dans le TOT du TUT
aucun
d'ailleurs, je ne suis même pas sûr que ça passe par les mains d'un être humain...
d'ailleurs, je ne suis même pas sûr que ça passe par les mains d'un être humain...
Re: Grosse bourde dans le TOT du TUT
Ah, ben c'est rassurant...
- bilbo_moria
- Don Bilbo de la Vega
- Messages : 7471
- Enregistré le : 15 déc. 2004, 1:00
- Localisation : Tinteniac (35)
- McColson
- Admin du site

- Messages : 8038
- Enregistré le : 07 nov. 2004, 1:00
- Localisation : La Celle sur Morin
- Contact :
Re: Grosse bourde dans le TOT du TUT
J'ai des soucis de lien dans ce post vers tes images jptrol ?!jptrol a écrit : 27 janv. 2018, 22:12 Allons droit au but. Voici un petit outil sympa et facile permettant à tout un chacun de faire 0 % d'erreur à tous les coups. C'est un fichier Excel à remplir. Je l'ai prérempli avec les valeurs de l'étage 2 du G5V3 qui font apparaître une fréquence de coupure de 147 Hz avec une charge sur l'anode de 1 M :
Ce que j'appelle le GAP est la différence en dB entre les deux paliers de gain. C'est Randall Aiken qui appelait ça comme ça lors de nos échanges : son souci était de "widen the gap" donc d'augmenter le gap à la recherche de nouvelles sonorités d'overdrive ( augmenter le gap = augmenter le bass roll-off)
Pour ceux qui ne seraient pas convaincus, voici de quoi les rassurer :
- d'abord la page 484 du RDH4 (cliquer pour télécharger en format lisible):
En bas de la page vous trouverez l'expression du gain en fonction entre autres de la capa de découplage Ck totalement cohérente avec le petit outil que je vous propose.
Ensuite le diagramme agrandi de la même page (cliquer dessus):
Sur ce diagramme on voit à -3 dB les différentes fréquences de coupure obtenues pour différentes valeurs de Ck qui vont de 10 µF à gauche à 2.5 nF à droite . Vous pouvez télécharger ici l'outil prérempli avec les valeurs d'entrée ci-dessus, à savoir :Dans le simulateur il ne reste plus qu'à entrer les différentes valeurs de Ck pour constater que les valeurs de fréquence de coupure obtenues à -3 dB correspondent exactement aux courbes correspondantes sur le diagramme. CQFD. Finies les approximations
- mu = 20
- Rp = rak = 10000 ohms
- RL = RA = 100k
- Rg2 = Zl = 500k
- Rk = 2700 ohms
![]()
Pareil le fichier excel Calcul_etageCC_Coherence RDH4.xls, me pose des problèmes quand je mets 1500 ohms en réssitance de cathode, les calculs ne se font plus correctement et le graph ne se met pas à jour.
Tu as une idée d'où ça peut venir ?
Re: Grosse bourde dans le TOT du TUT
Voilà ce que c'est que de déterrer un vieux sujet : les liens sont en décomposition !
Il faut que je les transfère sur le site , car en 2018 ils étaient sur mon site perso non sécurisé qui est bloqué aujourd'hui sur le forum.
EDIT : je viens de terminer de ressusciter les liens du post.
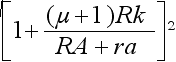
Alors pour l'autre question je te réponds rapidement (EDIT : trop rapidement , il y avait une erreur ! ) pour le moment mais je vais essayer d'expliciter plus avant par la suite : lorsque µ est faible comme ici tu rencontres le cas où il n'y a pas de fréquence de coupure ( elle est inférieure à 0 et comme c'est le résultat d'une extraction de racine carrée tu as le code erreur Excel 502).
Pour mémoire voilà la formule :

Pour qu'il y ait une fréquence de coupure à -3 dB il faut que
soit supérieur à 2 et ceci indépendamment de toute valeur de Ck. Il faut donc que : ( µ+1) x Rk soit supérieur à 0.414 ( =1-racine de 2) x (RA + rak)
Ici avec Rk < 1841 ohms il n'y a pas de fréquence de coupure ! D'où le problème avec Rk = 1500 ohms !
Il faut que je revoie tout ce post en fait car j'aurais dû expliciter ce cas.
Il faut que je les transfère sur le site , car en 2018 ils étaient sur mon site perso non sécurisé qui est bloqué aujourd'hui sur le forum.
EDIT : je viens de terminer de ressusciter les liens du post.
Alors pour l'autre question je te réponds rapidement (EDIT : trop rapidement , il y avait une erreur ! ) pour le moment mais je vais essayer d'expliciter plus avant par la suite : lorsque µ est faible comme ici tu rencontres le cas où il n'y a pas de fréquence de coupure ( elle est inférieure à 0 et comme c'est le résultat d'une extraction de racine carrée tu as le code erreur Excel 502).
Pour mémoire voilà la formule :

Pour qu'il y ait une fréquence de coupure à -3 dB il faut que
soit supérieur à 2 et ceci indépendamment de toute valeur de Ck. Il faut donc que : ( µ+1) x Rk soit supérieur à 0.414 ( =1-racine de 2) x (RA + rak)
Ici avec Rk < 1841 ohms il n'y a pas de fréquence de coupure ! D'où le problème avec Rk = 1500 ohms !
Il faut que je revoie tout ce post en fait car j'aurais dû expliciter ce cas.
jptrol
______________________________________________
______________________________________________

..:: 




