LES NOMBRES COMPLEXES SANS COMPLEXE
(complexe mais pas compliqué ! Cette notion est essentielle pour comprendre les calculs impliquant selfs et capacités)
Cette approche peut être considérée comme insuffisante pour représenter des valeurs plus complexes à deux dimensions . Les mathématiciens ont donc bâti un système correspondant en adoptant une deuxième droite dite droite des imaginaires dont la représentation est perpendiculaire à la droite des réels allant également de – l’infini à + l’infini en croisant l’axe des réels en zéro. Ainsi au lieu de disposer d’une droite infinie de valeurs nous disposons d’un plan infini de valeurs.
L’axe vertical est l’axe des imaginaires : l‘unité OJ = j.
La notation d’un nombre complexe quelconque est :
z = a + jb

b = partie imaginaire du nombre complexe z
on appelle MODULE DE z : \(|z|=\sqrt{a^2+b^2}\)
on appelle ARGUMENT DE z : \(arg(z)= arctg \frac{b}{a}\)

![]() |
![]() |
![]() |
| z = 1 x j |
z = j² = – 1
|
z = -1 x j = – j
|
Somme de deux complexes :
z1 = a1 + jb1 + z2 = a2 + jb2 :
( on additionne parties réelles et imaginaires )
Pour la différence on applique bien sûr le même principe. Pour les opérations de somme et différence on utilise obligatoirement les données cartésiennes.
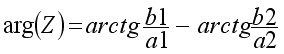
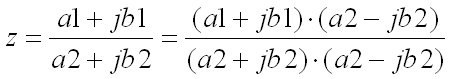
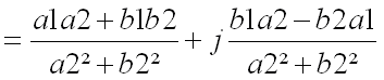
Quotient de deux complexes :
z1 = a1 + jb1 et z2 = a2 + jb2
a1 + jb1
Z = ___________
a2 + jb2
On peut déterminer le quotient de deux complexes en passant par les coordonnées polaires des opérandes :

Principe à retenir :le module du quotient est le quotient des modules

Principe à retenir : l’argument du quotient est la différence entre l’argument du numérateur et celui du dénominateur.
Produit de deux complexes :
En coordonnées polaires


Conjugué d’un nombre complexe
Si l’on fait le produit des deux , les arguments s’annulant on obtiendra un nombre réel pur :
D’où l’on tire une autre manière de calculer le quotient de deux complexes en multipliant haut et bas par le conjugué du dénominateur :


On peut développer indéfiniment sur les complexes mais pour les calculs en électronique les principes ci-dessus sont suffisants .
Il est bon de reconnaître cependant les pièges que l’on peut rencontrer dans ce type de calculs :
Ex : quelles sont les valeurs de b pour lesquelles nous avons | a + jb | = K et développer ainsi puisque K est un module c’est un réel pur alors K – a = jb .
Ceci est faux naturellement puisqu’il faut immédiatement écrire :
LES LOGARITHMES A SON RYTHME
etc ….

Alors quel intérêt ? C’est que lorsque l’on manipule des grandeurs disproportionnées il est plus simple d’ajouter que de multiplier. L’addition remplace la multiplication tout comme la soustraction remplace la division :
Si a x b = c alors log (a) + log (b) = log (c)
De même que 1000 / 10 = 100
log(1000) – log (10) = log (100)
( 3 – 1 = 2)
On peut alors écrire :
Si a / b = c alors log (a) – log (b) = log (c)
Cette notion de logarithme prend son sens lorsque l’on manipule les décibels (dB) qui expriment le gain d’un amplificateur ou l’atténuation d’un filtre et que l’on enchaîne plusieurs d’entre
eux.
Oui mais c’est facile quand on a affaire à une puissance de 10 mais quand c’est différent. Eh bien c’est la même chose !
Si 
Alors 
Et comment fait-on pour trouver le log de 3,748 ? On prend …… une calculatrice !
![]() |
![]() |

Autrement dit: log (3,748) = 0,574
Au passage on peut vérifier que si 3,748 = 3748 /1000 alors
… et faire un tas d’autres exercices pour vérifier que l’on a bien compris, mais pour manipuler les décibels toutes ces notions sont suffisantes.






